0/0
0/0
  • 爱因斯坦最后拼图 LIGO获得诺贝尔奖

    【中关村在线原创】在国庆假期的时候,瑞典皇家科学院把今天的诺贝尔物理学奖颁发给了在现实中捕获引力波的麻省理工学院教授雷纳·韦斯(RainerWeiss)、加州理工大学教授基普·索恩(KipStephenThorne)和巴里·巴里什(BarryClarkBarish),以表彰他们构思和设计了激光干涉仪引力波天文台LIGO,并对直接探测引力波做出杰出贡献。

  • 爱因斯坦最后拼图 LIGO获得诺贝尔奖

    LIGO:好快的物理学奖 一般来说,从发表成果到被授予诺奖,通常要间隔很久,有的时候因为发现者过世而不能办法,成为一种遗憾(诺贝尔奖不颁发给已逝的人,是个传统)。但是这次LIGO从去年发表成果验证捕获了引力波开始到今年授予诺奖,间隔短、颁发快,可见引力波的重要。

  • 爱因斯坦最后拼图 LIGO获得诺贝尔奖

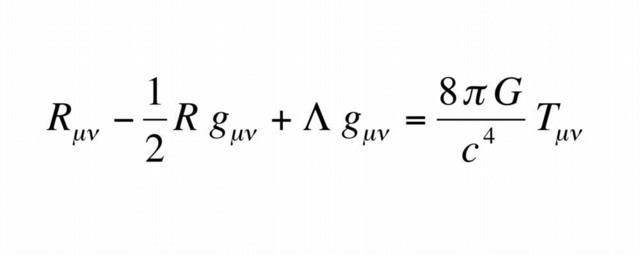
    引力波方程,想看懂对数学和物理要求非常高 在差不多正好一个世纪以前,爱因斯坦的广义相对论里面有个场方程。这里涉及的数学和物理太过艰深,不是研究这个领域的学者根本理解不了,我们作为围观群众,只看理论的结论就好。在这个场方程当中,爱因斯坦预言了一种以光速传播的引力波动。

  • 爱因斯坦最后拼图 LIGO获得诺贝尔奖

    电影《蚁人》中有炫酷的超微观世界的特效,可以购买BD感受一下 当然了,作为有重量的人,我们自身当然也会产生引力波。但是由于我们人自身的重量实在太小了,就是地球,产生的引力波也只有200瓦,所以根据方程推导出来的引力波即使大到比太阳质量大几十倍的黑洞合并事件,才有可能产生极其微小的尺度上的波动,如果你看过漫威的电影《蚁人》里面有一段极小尺度上的视觉特效,可以感受一下。

  • 爱因斯坦最后拼图 LIGO获得诺贝尔奖

    LIGO:探索引力波的利器 试验物理学家就要通过设计,来实现如此只小尺度上的细微变化测量,这就是LIGO,它的全称叫做激光干涉引力波天文台,Laser Interferometer Gravitational-Wave Observatory,LIGO是四个字母的缩写。

  • 爱因斯坦最后拼图 LIGO获得诺贝尔奖

    LIGO的原理:干涉仪 LIGO用的是什么?其实是干涉仪。这种设备诞生的时间已经很长了。其中一种叫做迈克尔孙干涉仪的设备原理如下面的图。

  • 爱因斯坦最后拼图 LIGO获得诺贝尔奖

    迈克尔孙干涉仪的原理

  • 爱因斯坦最后拼图 LIGO获得诺贝尔奖

    氦-氖激光经过迈克尔孙干涉仪后产生的干涉纹 可以看到激光经过半透膜的变化后,光路会一分为二,当有了引力波的时候,光程差会发生变化,产生干涉条纹的变化。迈克尔孙干涉仪诞生之初就推翻了当时物理学界的一个所谓的概念:以太,因为不同方向上的变化不会导致干涉条纹的变化,也就不存在所谓的以太风。

  • 爱因斯坦最后拼图 LIGO获得诺贝尔奖

    法布里-珀罗干涉仪

  • 爱因斯坦最后拼图 LIGO获得诺贝尔奖

    法布里-珀罗干涉仪的原理

  • 爱因斯坦最后拼图 LIGO获得诺贝尔奖

    法布里-珀罗干涉仪的干涉图样 当然,除了迈克尔孙干涉仪,LIGO还用法布里-珀罗干涉仪,下面的是它的原理图。这种干涉仪在LIGO中的作用是存储毫秒量级上的光子,形成多次反射,进而提升LIGO的精度,就是图中G1、G2之间要多次反射。而事实上,LIGO目前也没有达到最初设计的精度,只是初代LIGO的升级版本,因为这种高精度的设备是90年代后才逐步开始有的,LIGO的精度要进行最后的升级之后,到2021年才能达到最终的理想精度。

  • 爱因斯坦最后拼图 LIGO获得诺贝尔奖

    LIGO的高精度从何而来 天文上的单位,数字都特别大,但是引力波又很小。比如以地球的质量,产生的引力波只有200瓦,这是一个非常非常小的数字,而这200瓦在以光年计的距离尺度上,会微弱到几乎不可测量。这和我们看不到很多星星发出的微弱到光,必须借助望远镜一样。所以探测引力波需要非常非常非常高精度的设备来测量极微小尺度上的变化。

  • 爱因斯坦最后拼图 LIGO获得诺贝尔奖

    LIGO的原理 要探测到引力波,有两个条件:1,辐射出来的引力波到达地球的时候信号依旧足够强;2,探测引力波的设备要足够精密。事实上,LIGO的精度极高,能探测到千分之一个质子直径尺度上的变化,这是因为只有这个精度,才能探测到“很强”的引力波。也就是0.000000000000000000001米尺度上的变化。LIGO是有史以来精度最高的设备。

  • 爱因斯坦最后拼图 LIGO获得诺贝尔奖

    LIGO的两个臂,每个长度4公里 引力波如何探测?上面这张图就是LIGO的一个天文台,可以看到有两个相互的垂直的臂,它们每个臂的长度有4公里,大功率激光器发出的很纯的激光,在里面要反射50次左右。为了尽可能的抵消热变化带来的误差,这两个臂里面要抽成真空度极高的真空,内部的大气压只有10的-12次方。

  • 爱因斯坦最后拼图 LIGO获得诺贝尔奖

    LIGO内部,相当复杂与精密,科研人员需要穿着防尘服

  • 爱因斯坦最后拼图 LIGO获得诺贝尔奖

    去年春节LIGO探测到的引力波信号,来自两个不同的观测站,有极高的相似度,并于预言相符合 抵消掉这些因素,由于两个臂是垂直的,因此对于引力波,会产生垂直和水平两个方向上不同的影响,哪怕这个影响远小于质子的直径,这些变化导致激光干涉的条纹就会发生变化,被仪器记录下来。

  • 爱因斯坦最后拼图 LIGO获得诺贝尔奖

    探索引力波的进程 引力波的能量太低了。自从爱因斯坦提出来之后,科学界就在设计方法找到它。英国物理学家菲利克斯·皮拉尼(Felix Pirani)于1955年获得了关键性的突破。他证明,可以通过测量至少两个测试质量之间的距离变化来探测引力波。美国马里兰大学的约瑟夫·韦伯受此启发,开始进行实验直接探测引力波。虽然他用自己在20世纪60年代设计的“韦伯棒”(Weber bar)什么也没有探测到,但是他的这一发明启迪了许多物理学家。用棒状探测器来探测引力波的概念后来被广为接受并加以改良。 在MIT和Caltech合作基础之上才有了LIGO 70年代,魏斯团队在麻省理工学院、汉斯·彼林团队在德国加兴的马克斯·普朗克研究所、朗纳·德瑞福团队在格拉斯哥大学,分别建成并且投入运行雏型引力波干涉探测器。同时期,基普·索恩在加州理工学院组成了实验引力波团队。1979年,他特别从格拉斯哥大学聘请德瑞福来领导这团队,并且建造引力波干涉器。1983年,建成一台40m臂长的引力波干涉器。在麻省理工学院的魏斯团队,由于申请到较少实验经费,只能建成一台1.5m臂长的引力波干涉器。两个团队激烈地兢争,试图计划与制造更灵敏、更先进的引力波干涉器。1984年,为了更有效率地运用有限资源,加州理工学院与麻省理工学院同意联合设计与建造LIGO,并且由基普·索恩、朗纳·德瑞福 与莱纳·魏斯共同主持这计划。

  • 爱因斯坦最后拼图 LIGO获得诺贝尔奖

    90年代开始建设LIGO 1990年,美国国家基金会批准了LIGO计划。隔年,美国国会开始拨款给LIGO计划。1992年,选定在路易斯安那州的利文斯顿与在华盛顿州的汉福德分别建造相同的探测器,彼此相距3000公里。只有两个探测器同时检测到的信息才有可能是引力波的信号。1994年,加州理工学院教授巴里·巴里什被委派为LIGO主任。他建议,LIGO应该设计为一台可以持续演进的探测器,任何零件都可以很容易的进行改良。在他的领导下,开始建造LIGO, 1999年完工。2002年正式进行第一次探测引力波,2010年结束搜集数据。在这段时间内,并未探测到引力波,但是整个团队获得了很多宝贵经验,灵敏度也越加改善。

  • 爱因斯坦最后拼图 LIGO获得诺贝尔奖

    LIGO升级:减震设备变化很大 在2010年与2015年之间,LIGO又经历大幅度改良,升级后的探测器被称为“先进LIGO”(aLIGO)。到2015年9月中旬,“世界上最大的引力波设施”已完成了费时5年,耗资2亿美元的检修,总成本达到6.2亿美元,成为有史以来由NSF资助的最大规模、最雄心勃勃的项目。在2015年9月18日,再次开启正式观测。这时,先进LIGO的灵敏度已是初始LIGO的约四倍左右,它的灵敏度将进一步提升,直至2021年左右达到设计的灵敏度。

  • 爱因斯坦最后拼图 LIGO获得诺贝尔奖

    引力波天文台在全世界 LIGO只是美国的引力波探测设备,而采用同样原理的设备不只是美国有。在欧洲,意大利的比萨附近,除了比萨斜塔,现在还有VIRGO,这是欧洲的引力波天文台。VIRGO每个臂的长度是3公里。

  • 爱因斯坦最后拼图 LIGO获得诺贝尔奖

    位于意大利比萨的VIRGO 建成和在建的引力波探测设备

  • 爱因斯坦最后拼图 LIGO获得诺贝尔奖

    日本在建的KAGRA 在建设中的引力波天文台分布入上图,可以看到在印度,还将建设一个LIGO India,并且日本也在建设神冈引力波探测器KAGRA,它和VIRGO一样,也是3公里的臂长引力波探测器。

  • 爱因斯坦最后拼图 LIGO获得诺贝尔奖

    空间引力波探测:LISA的设想 地面引力波探测设备的苦恼很多,由于太过精密,所以大量来自地球的噪声信号要用计算机过滤掉。于是科学家瞄准了太空,构想出了LISA,本来是NASA和ESA合作,但是经费问题导致要欧洲单枪匹马的运作,现在还在论证,即便能成,也是2034年的事情了。

  • 爱因斯坦最后拼图 LIGO获得诺贝尔奖

    引力波的意义? 马可尼研究无线电波的时候,肯定想不到今天《王者荣耀》的火爆。但是当时人们也不知道无线电波通信能带来什么,一如我们今天不知道探测到的引力波能做什么。引力波探测器变成了我们观察宇宙的一种全新的方式。

  • 爱因斯坦最后拼图 LIGO获得诺贝尔奖

    FAST巨眼已经发现了两颗脉冲星 在经济不发达的时候,我们全国人民勒紧裤腰带过日子,在科学领域的研究投入终究有限,饶是如此,中国科研界依旧硕果累累。现在中国的GDP已经全球第二,所以我们会看到越来越多的大型科研设备的竣工。比如FAST,这个位于中国贵州的巨眼,直径达到了500米,一出手就找到了两颗脉冲星!

  • 爱因斯坦最后拼图 LIGO获得诺贝尔奖

    哈勃太空望远镜你也可以申请使用 当然,科学是无国界的,中国科学家和全世界有竞争但是在基础科研领域也需要合作。因为基础科研的设施,很多并没有重复建设的必要性,建设好了大家根据投入,分享使用时间就好,这也是国际间科研成熟的模式,比如国外的科学家也可以申请FAST观测。比如著名的哈勃太空望远镜,如果你的点子足够好,完全可以向NASA提交哈勃太空望远镜的使用申请,通过了他们就会按照你的设计操作,并把结果共享给你,这是免费的……所以你要有志向,完全可以刻苦学习,让你的点子脱颖而出。

  • 爱因斯坦最后拼图 LIGO获得诺贝尔奖

    相对论已经一百多年了,我们还在验证理论 从爱因斯坦理论推出到现在过去了一百年,验证引力波是最近的事情,而科学就是这样前赴后继的科学工作者的努力下推动前行,得到诺贝尔奖的是少数,更多的是默默的奉献了一生。

点击查看更多文章
展开